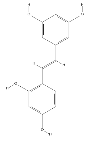
氧化白藜芦醇
Oxyresveratrol
产品编号CRN0188
物理属性Powder
CAS编号29700-22-9
化合物类型Phenols
分子式 = 分子量C14H12O4=244.2
植物来源1 Melaleuca sp. 2 Morus sp. 3 Smilax sp.
产品纯度≥98%
生物活性查看
产品规格→ 可根据您需求,从毫克到克级 进行包装,更多信息请咨询客服
产品编号
产品名称
CAS号
包装
QQ客服
相关论文
存储与注意事项
1. 在您收到产品后请检查产品。如无问题,请将产品存入冰霜并且样品瓶保持密封,产品可以存放长达24个月(2-8摄氏度)。
2. 只要有可能,产品溶解后,您应该在同一天应用于您的实验。 但是,如果您需要提前做预实验,或者需要全部溶解,我们建议您将溶液以等分试样的形式存放在-20℃的密封小瓶中。 通常,这些可用于长达两周。 使用前,打开样品瓶前,我们建议您将产品平衡至室温至少1小时。
订购流程
1. 在线订购
请联系我们QQ客服
QQ: 3592127268,1197063825
微信: 18162791556,18162756256
2. 电话订购
请拨打电话:18162756256 或 027-84759766
3. 邮件或传真订购
发送电子邮件到: manager@biocuiyuan.com或发送传真到027-84759766
提供订购信息
为了方便客户的订购,请需要订购产品的客户,在下单的时候请提供下列信息,以供我们快速为您建立发货信息。
1. 产品编号(CAS No.或产品名称)
2. 发货地址
3. 联系方法 (联系人,电话)
4. 开票抬头 (如果需要发票的客户)
5. 发票地址(发货地址与发票地址不同)
发货时间
1. 付款方式为100%预付款客户,我们将在确认收到货款后当天或1-3个工作日发货。
2. 付款方式为月结的客户,我们承诺在收到订单后当天或1-3个工作日内发货。
3. 如果客户所需要的产品,需要重新生产,我们有权告知客户,交货时间需要延期。

18162756256


18162756256
1197063825
manager@biocuiyuan.com

